상세 컨텐츠

본문 제목

2019 공무원 봉급 인상률 1.8% 2019 공무원 봉급표

직업, 일자리, 직장

by LABOR 수달김수달 2018. 9. 20. 21:55

본문

반응형

2019 공무원 봉급 인상률 1.8% 2019 공무원 봉급표

2019년 공무원 봉급표는 예년과 다른 특이한 모습을 보일 것으로 예상됩니다. 공무원 봉급표는 일반적으로 전년 대비 인상률이 결정되며, 이는 대통령부터 9급 1호봉까지의 물가 상승률과 최저임금 상승률을 고려하여 결정됩니다. 그러나 내년도에는 공무원 보수 인상률이 최근 몇 년 동안 최저 수준인 1.8%로 그칠 것으로 예상됩니다. 이로 인해 2019년 공무원 봉급표가 발표되었습니다.

과거의 공무원 봉급 인상

과거에는 공무원 봉급 인상률이 대통령부터 9급 1호봉까지의 물가 상승률과 최저임금 상승률을 기준으로 결정되었습니다. 이러한 방식으로 공무원 봉급은 물가 상승률과 최저임금 인상률에 따라 조정되었으며, 경기가 어려운 경우에는 5급 이상 공무원의 봉급은 인상되더라도 인상분 만큼 반납하는 형식을 취해왔습니다.

2019 공무원 봉급 인상률

하지만 2019년에는 예년과는 다른 상황이 예상됩니다. 2019년 1월 8일, 2019 공무원 호봉표가 정식 발표되었는데, 이번에는 인상률이 1.8%로 고정될 것으로 예상됩니다. 이는 최근 몇 년 동안의 최저 수준의 인상률로, 예전과는 다른 모습을 보입니다.

특이한 점

2019 공무원 봉급표에서 특이한 점은 인상률이 낮다는 것뿐만이 아닙니다. 이번에는 고위 공무원 보수 동결이나 반납 계획이 발표되지 않았다는 점이 눈에 띕니다. 예전에는 고위 공무원들의 보수가 동결되거나 일부가 반납되는 경우가 종종 있었지만, 이번에는 그러한 계획이 없는 것으로 보입니다.

또한, 2016년에 시행하려던 5급 이상 고위직 공무원의 성과연봉제 역시 폐지되었습니다. 성과연봉제는 업무 성과가 좋으면 임금 상승분을 추가로 받고, 성과 평가가 미흡하면 보수가 동결되는 제도였는데, 이번에는 이 제도가 폐지되었습니다.

또한, 경찰, 소방관 등 위험한 업무를 수행하거나 업무 강도가 높은 공무원들에게 보다 높은 봉급을 지급하는 차등 보수제도도 2019 공무원 봉급 인상률 발표에서는 언급이 없었습니다.

2019 공무원 봉급표 예상

아래는 2019년 공무원 봉급 인상률을 반영한 월급표입니다. 이 월급표는 일반직 공무원을 대상으로 작성되었습니다. 다만, 기획예산처에서 더 명확한 내년도 예산안 발표가 있으면 2019 경찰 공무원 월급표나 교사 호봉표 (2016 공무원 봉급 인상 1.8% 급여표)도 추가로 작성할 예정입니다.

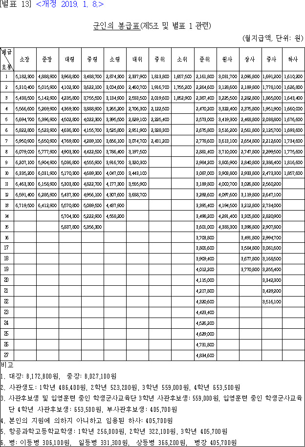
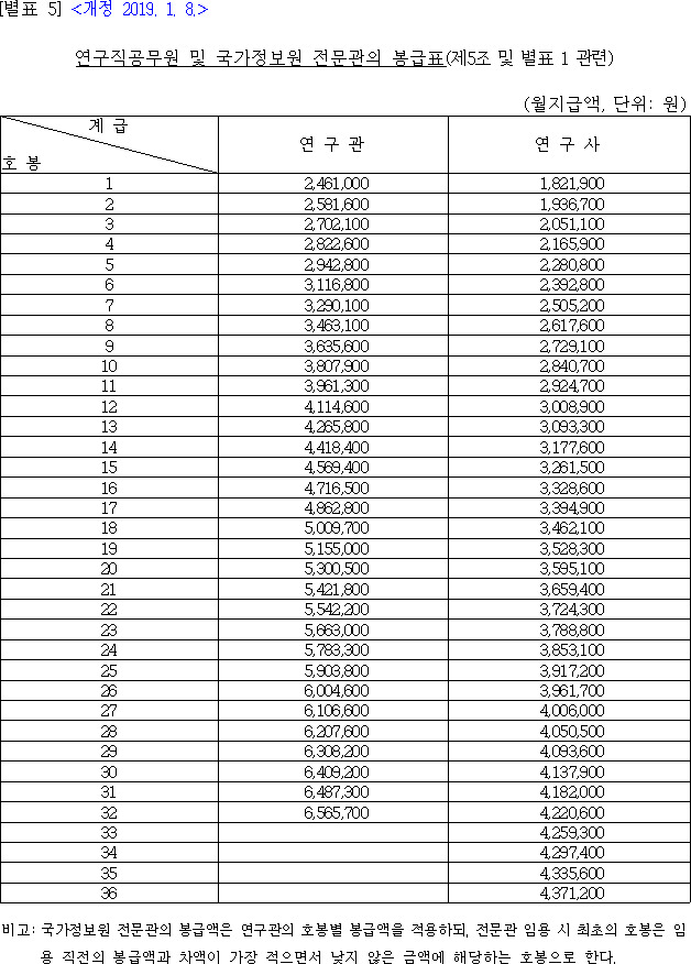
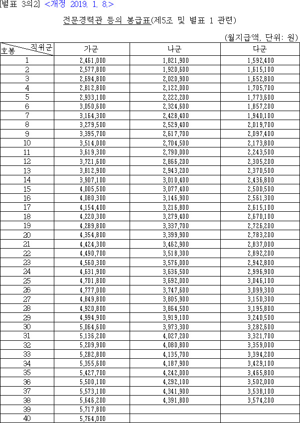
2019 공무원 봉급표 (일반직)

2019년 1월 8일 2019 공무원 호봉표가 정식 발표되었습니다.

 

반응형

관련글 더보기

댓글 영역